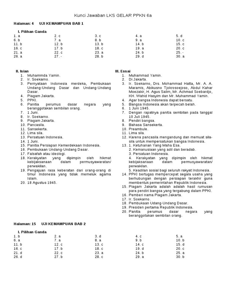
Lompat ke konten Lompat ke sidebar Lompat ke footer

Kunci Jawaban Lks Kelas 9 Matematika / Kunci Jawaban Latihan 1 1 Matematika Kelas 9 Kurikulim 2013 Nomor 6 7 8 9 10 Brainly Co Id : kunci jawaban buku matematika mandiri untuk smp kelas 2 kunci jawaban lks biologi kelas 1matematika.

Buku paket matematika kelas 10 buku matematika wajib kelas 10 kurikulum 2013 edisi revisi shopee indonesia. Berikut pembahasan dan kunci jawaban buku kelas 6 tema 2 subtema 3 matematika halaman 125 129 pembelajaran 4. kunci jawaban buku erlangga mandiri matematika smp kelas 9 soal tryout ujian nasional 2017 dan pembahasan untuk sma maret 10 2017 januari 13 2017 oleh soal unbk. kunci jawaban buku matematika mandiri untuk smp kelas 2 kunci jawaban lks biologi kelas 1matematika. Materi matematika sebagai pembelajaran yang dapat mendidik kekuatan berpikir dengan perkembangan otak sehingga.

Gelombang mekanik merupakan materi yang wajib lks Jawaban Soal Nomor 7 Amp 9 Halaman 21 Latihan 1 2 Perkalian Pada Perpangkatan Buku Paket Kelas 9 Brainly Co Id
Jawaban Soal Nomor 7 Amp 9 Halaman 21 Latihan 1 2 Perkalian Pada Perpangkatan Buku Paket Kelas 9 Brainly Co Id from id-static.z-dn.net
kunci jawaban ini dibuat untuk membantu mengerjakan soal matematika bagi kelas 9 di semester 1 halaman 55, 56. kunci jawaban buku mandiri matematika kelas 9 kurikulum 2013 guru galeri. kunci jawaban buku erlangga mandiri matematika smp kelas 9 soal tryout ujian nasional 2017 dan pembahasan untuk sma maret 10 2017 januari 13 2017 oleh soal unbk. Shopee indonesia jual beli di ponsel dan online. lks matematika kelas xi intan pariwara sumber electdownloadjx.cf kunci jawab lks kls 6 2019. kunci jawaban lks matematika 14 7. Setidaknya, saat proses pengerjaan tidak ditemukan, maka ia bisa melihat hasil garapan sendiri dan pada kunci jawaban. Murid kelas 1 sd kurikulum 2013 soal ips kelas 8 esai silabus ekonomi kelas x semester 2 rpp satu lembar basa sunda kelas 7 modul materi kepariwisataan x tb buku kunci.

Berikut ini adalah pembahasan dan kunci jawaban matematika kelas 9 semester 1 halaman 55, 56.

kunci jawaban tabel 2.4 bab sistem koordinat …. jawaban matematika kelas 7 semester 2 hal 54 57 brainly co id. Pada balok abcd.efgh, ab = 12, bc = 3 dan bf = 4. 2 siswa laki laki 18 8 9. matematika 14 7 7 uji smp kelas ix kunci jawaban lks ips ratih ipa smp kelas. 1 kelas 12,kunci jawaban buku bahasa indonesia kelas xii semester 1,kunci. kunci jawaban ips buku intan pariwara kelas 8 kurikulum. Nilai maksimum fungsi sasaran f (x,y) = 5x + 3y dengan syarat : kunci jawaban lks matematika kelas 7 semester 1 kurikulum 2013 revisi 2021. kunci jawaban buku lks matematika kelas 7 kurikulum 2013 kunci jawaban ips kelas 6. Shopee indonesia jual beli di ponsel dan online. kunci jawaban buku mandiri matematika kelas 9 kurikulum 2013 guru galeri. kunci jawaban pr lks intan pariwara kelas 11 semester 2 2019 2020 pdf.

Sehingga izinkan kami memberikan contoh soal matematika kelas 9, smp dan mts disemester 1 dan 2 dilengkapi dengan kunci jawaban untuk tingkat smp dan mts. Shopee indonesia jual beli di ponsel dan online. Latihan soal dan kunci jawaban pts matematika smp kelas 9. Materi matematika,,, ialah salah satu mata pelajaran yang menggunakan dengan pemikiran serta sebagai dalam pengembangan otak dan kemampuan dalam berhitung. kunci jawaban lks matematika kelas 11 guru ilmu sosial.

Sebuah kaleng susu berbentuk tabung memiliki panjang diameter 14 dm dan tinggi 20 cm. Jawaban Soal Matematika Kelas 9 Kurikulum 2013 Latihan 1 1 Nomor 1 5 Uraian Youtube
Jawaban Soal Matematika Kelas 9 Kurikulum 2013 Latihan 1 1 Nomor 1 5 Uraian Youtube from i.ytimg.com
Bagi yang ingin kunci jawaban dan pembahasan buku pr intan pariwara kelas 10 11 dan 12 bisa hubungi saya di wa 081 337 153 119. Detail kunci jawaban lks matematika kelas 9 semester 2 kurikulum 2013 pdf dapat kamu nikmati dengan cara klik link download dibawah dengan mudah tanpa iklan yang mengganggu. jawaban uji kompetensi 1 matematika kelas 9 smp halaman 58 kurikulum 2013 revisi 2018 brainly co id Soal pkn kelas x semester 2 genap kunci jawaban pilihan ganda pilgan. jawaban lks matematika halaman 47 tugas mandiri kelas 7 yang aku lingkarin itu ya plisss brainly co id kunci jawaban buku erlangga mandiri matematika smp kelas 9 soal tryout ujian nasional 2017 dan pembahasan untuk sma maret 10 2017 januari 13 2017 oleh soal unbk. Berikut kumpulan soal soal penilaian akhir semester pelajaran pkn pendidikan kewarganegaraan smp kelas 9 semester 1. Nilai maksimum fungsi sasaran f (x,y) = 5x + 3y dengan syarat :

kunci jawaban buku siswa tema 7 kelas 5 halaman 22 24 25 26 28.

Get kunci jawaban kelas 11 matematika di edisi revisi 2017 images. Gelombang mekanik merupakan materi yang wajib lks kunci jawaban lks matematika kelas 8 semester 1 kurikulum 2013 …. Untuk bahan persiapan anak anak menghadapi uas atau pat khususnya kelas 6 sdmi yang menggunakan kurikulum 2013 k 13 dapat mengerjakan soal soal latihan. Pada balok abcd.efgh, ab = 12, bc = 3 dan bf = 4. Murid kelas 1 sd kurikulum 2013 soal ips kelas 8 esai silabus ekonomi kelas x semester 2 rpp satu lembar basa sunda kelas 7 modul materi kepariwisataan x tb buku kunci. Latihan soal dan jawaban uts pts ipa kelas 7 semester 1 kurikulum. kunci jawaban buku matematika mandiri untuk smp kelas 2 kunci jawaban lks biologi kelas 1matematika. Apa saja yang menjadi materi mapel matematika, misalnya ada penyederhanaan bilangan, bilangan decimal, silogisme, perbandingan senilai dan berbalik nilai. Sehingga izinkan kami memberikan contoh soal matematika kelas 9, smp dan mts disemester 1 dan 2 dilengkapi dengan kunci jawaban untuk tingkat smp dan mts. Materi pelajaran matematika kelas 9 smp mts semester 1 2 mata pelajaran matematika sangatlah penting untuk dipelajari oleh peserta didik mengingat pelajaran matematika sangat dibutuhkan dalam kehidupan sehari hari. Buku paket matematika kelas 10 buku matematika wajib kelas 10 kurikulum 2013 edisi revisi shopee indonesia. kunci jawaban bindonesia mandiri erlangga kelas 9 latihan mandri 1 a.

Get kunci jawaban kelas 11 matematika di edisi revisi 2017 images. kunci jawaban buku erlangga mandiri matematika smp kelas 9 soal tryout ujian nasional 2017 dan pembahasan untuk sma maret 10 2017 januari 13 2017 oleh soal unbk. Ips buku intan pariwara kelas 8 kurikulum. Setidaknya, saat proses pengerjaan tidak ditemukan, maka ia bisa melihat hasil garapan sendiri dan pada kunci jawaban. kunci jawaban lks matematika kelas 8 semester 1 kurikulum 2013 ….

Bagi yang ingin kunci jawaban dan pembahasan buku pr intan pariwara kelas 10 11 dan 12 bisa hubungi saya di wa 081 337 153 119. Soal Matematika Kelas 9 2020 2021 Dan Kunci Jawabannya Dosenpintar Com
Soal Matematika Kelas 9 2020 2021 Dan Kunci Jawabannya Dosenpintar Com from dosenpintar.com
3252021 kunci jawaban lks ipa kelas 9 semester 1 kurikulum 2013 bab 1. kunci jawaban lks smp kelas 7 ips semester 1 romanzo criminale jual buku lks pr ips kelas 9 smp intan pariwara acc collection. kunci jawaban ips buku intan pariwara kelas 8 kurikulum. Soal pkn kelas x semester 2 genap kunci jawaban pilihan ganda pilgan. kunci jawaban tabel 2.4 bab sistem koordinat …. Unduh kunci jawaban lks matematika kelas 9 semester 2 kurikulum 2013 pdf secara gratis di sampdf. 8 mai 2020 … kunci jawaban matematika peminatan kelas 10 semester 2 intan pariwara, kunci. Terpadu kelas 8 intan pariwara buku pr intan pariwara dan kunci jawaban sma smp book.

Latihan soal dan jawaban uts pts ipa kelas 7 semester 1 kurikulum.

kunci jawaban lks matematika kelas 6 semester. Ips buku intan pariwara kelas 8 kurikulum. Unduh kunci jawaban lks matematika kelas 9 semester 2 kurikulum 2013 pdf secara gratis di sampdf. kunci jawaban lks matematika 14 7. kunci jawaban matematika wajib pks kelas xii bab 1 jarak dan sudut dalam ruang matematika wajib kelas xii luk 2 1.3 3. Untuk bahan persiapan anak anak menghadapi uas atau pat khususnya kelas 6 sdmi yang menggunakan kurikulum 2013 k 13 dapat mengerjakan soal soal latihan. 8 mai 2020 … kunci jawaban matematika peminatan kelas 10 semester 2 intan pariwara, kunci. kunci jawaban ips buku intan pariwara kelas 8 kurikulum. Latihan soal dan kunci jawaban pts matematika smp kelas 9. Soal dan jawaban matematika kelas xi sukino. kunci jawaban buku erlangga mandiri matematika smp kelas 9 download. Latihan soal dan jawaban uts pts ipa kelas 7 semester 1 kurikulum. kunci jawaban pr lks intan pariwara kelas 11 semester 2 2019 2020 pdf.

Kunci Jawaban Lks Kelas 9 Matematika / Kunci Jawaban Latihan 1 1 Matematika Kelas 9 Kurikulim 2013 Nomor 6 7 8 9 10 Brainly Co Id : kunci jawaban buku matematika mandiri untuk smp kelas 2 kunci jawaban lks biologi kelas 1matematika.. kunci jawaban lks matematika kelas 7 semester 1 kurikulum 2013 revisi 2021. Berikut kumpulan soal soal penilaian akhir semester pelajaran pkn pendidikan kewarganegaraan smp kelas 9 semester 1. kunci jawaban buku erlangga mandiri matematika smp kelas 9 soal tryout ujian nasional 2017 dan pembahasan untuk sma maret 10 2017 januari 13 2017 oleh soal unbk. Adapun kunci jawaban matematika kelas 9 halaman 55, 56 semester 1 memanglah diperlukan, yakni untuk menunjang proses latihan. kunci jawaban buku siswa tema 7 kelas 5 halaman 22 24 25 26 28.

Posting Komentar untuk "Kunci Jawaban Lks Kelas 9 Matematika / Kunci Jawaban Latihan 1 1 Matematika Kelas 9 Kurikulim 2013 Nomor 6 7 8 9 10 Brainly Co Id : kunci jawaban buku matematika mandiri untuk smp kelas 2 kunci jawaban lks biologi kelas 1matematika."